コンプリート! yield to maturity 127790-Yield to maturity equation
However, bond quotes are often given in terms of yield rather than price, because the yield tells the expected return on the bond through maturity The bid yield is the yield figure that you getFree Online Textbook @ https//businessfinanceessentialspressbookscom/An example of calculating YieldtoMaturity using the 5key approachYield to Maturity (Approx) = 876% This is an approximate yield on maturity, which shall be 876% Example #2 FANNIE MAE is one of the famous brands that are trading in the US market The government of the US now wants to issue year fixed semiannually paying bond for their project
What Is The Difference Between Irr And The Yield To Maturity The Motley Fool
Yield to maturity equation
Yield to maturity equation-On this page is a bond yield to maturity calculator, to automatically calculate the internal rate of return (IRR) earned on a certain bondThis calculator automatically assumes an investor holds to maturity, reinvests coupons, and all payments and coupons will be paid on timeYou're wondering whether you would invest in the bond To make this decision, you want to know the Yield to Maturity (also called Internal Rate of Return) from investing in the bond


How To Calculate Yield To Maturity Definition Equation Example Financial Accounting Class Video Study Com
Coupon vs Yield to Maturity A bond has a variety of features when it's first issued, including the size of the issue, the maturity date, and the initial couponFor example, the US Treasury might issue a 30year bond in 19 that's due in 49 with a coupon of 2%In order to calculate the yield to maturity for a bond, you need the market price, coupon or interest rate and term to maturity For example, a bond selling at 9763 is selling at a discount (bond prices are expressed in terms of 100 representing a face value of $1,000) and pays an annual coupon rate of 7 percentThe current yield of a bond is the annual payout of a bond divided by its current trading price That is, you sum up all coupon payments over one year and divide by what a bond is paying today
Let's take an example to understand how to use the formula Let us find the yieldtomaturity of a 5 year 6% coupon bond that is currently priced at $850 The calculation of YTM is shown belowR is the yield to maturity (YTM) of a bond, B is the par value or face value of a bond, Y is the number of years to maturity Example 2 Suppose a bond is selling for $980, and has an annual coupon rate of 6% It matures in five years, and the face value is $1000 What is the Yield to Maturity?Yield to maturity is an important concept for all investors to know A bond's yield to maturity isn't as simple as one might think Read this article to get an in depth perspective on what yield to maturity is, how its calculated, and why its important
Years to Maturity 5 years From the time you buy the bond Current Price of Bond (Present Value, pv) $;Yield to Maturity Calculator is an online tool for investment calculation, programmed to calculate the expected investment return of a bond This calculator generates the output value of YTM in percentage according to the input values of YTM to select the bonds to invest in, Bond face value, Bond price, Coupon rate and years to maturityYield to maturity is a formula used to determine what interest a bond pays until it reaches maturity Yield to call refers to earnings from callable bonds, where the issuing company or agency can call the bond, essentially paying it back early with less interest, usually saving itself money


How To Use The Excel Yield Function Exceljet


Q Tbn And9gctmjjcknhq5z6xqz1cb0 Ujolevox3tjfw K1tbrzk W Ikim Usqp Cau
Yield and maturity is known as term structure of interest rate A plot of this relationship is known as yield curve The level of inflatiohary expectations and the phase of business cycle are two of the main factors, usually affecting interest rates But various kinds of risk premiums, which rise and fall, can also have an important effect on market interest ratesThough yield to maturity and current yield may show similarities, you can still tell the difference What makes the two look alike is because they both have to do with bonds YTM accounts for the returns after the bond reaches maturity, while the current yield represents the returns of the bond at the current timeUses of Yield to Maturity (YTM) Yield to maturity can be quite useful for estimating whether buying a bond is a good investment An investor will determine a required yield (the return on a bond


Yield To Maturity Fixed Income


Ytc Vs Ytm On Annual Bond Youtube
Yield to maturity is the percentage of total return you can expect to receive when you buy a particular bond at a specific price Yield to maturity includes both the interest payments you receive from a bond along with the capital gain you receive at maturity, if anyThe lower the price you can pay for a particular bond, the higher your yield to maturity will be, all other factors being equalThe yield to maturity (YTM), book yield, or redemption yield of a bond or other fixedincome asset, such as a bond, is based on the assumption or understanding that an investor buys the security at the current market price and keeps it until the security has matured (reaches its maximum value), and that all interest and coupon payments are made on timeYield to Maturity Definition Yield to maturity (YTM) is the expected return on a bond that an investor will receive if it is held until the maturity date of the bond In other words, it refers to the returns that a bond will fetch considering all payments made on time throughout the life of the bond


Yield To Maturity Ytm Definition Formula Calculations In Debt Mutual Fund Nippon India Mutual Fund


Yield To Maturity Meaning And Examples Fintelligents
How to Calculate Yield to Maturity For example, you buy a bond with a $1,000 face value and an 8% coupon for $900 The bond pays interest twice a year and matures in 5 years Enter "1,000" as the face value, "8" as the annual coupon rate, "5" as the years to maturity, "2" as the coupon payments per year, and "900" as the current bond priceYield to maturity is the actual rate of return based on a bond's market price if the buyer holds the bond to maturity Nominal (Coupon) Interest Rate Most bonds are issued with a fixed interest set in dollars that the issuer promises to pay to the bondholder annually until maturity The interest rate is the interest expressed as a percentageLet's take an example to understand how to use the formula Let us find the yieldtomaturity of a 5 year 6% coupon bond that is currently priced at $850 The calculation of YTM is shown below


Bond Yields Nominal And Current Yield Yield To Maturity Ytm With Formulas And Examples


What You Must Know On Bond Valuation And Yield To Maturity Acca Afm Got It Pass
Yield to maturity is the rate of return, mostly annualised, that an investor can expect to earn if they hold the bond till maturity Same is the case with a fund manager holding bonds in the mutual fund portfolio YTM assumes that the investor has reinvested all the coupon payments received from the bond back into it until maturityYield to Maturity Calculator is an online tool for investment calculation, programmed to calculate the expected investment return of a bond This calculator generates the output value of YTM in percentage according to the input values of YTM to select the bonds to invest in, Bond face value, Bond price, Coupon rate and years to maturityYield to Maturity(YTM) can be described as total anticipated return which an investor will earn on his/her investments starting from date of investment till the ultimate due date of maturity (generally calculated for bonds, debentures, etc), YTM is generally confused with annual rate of return which is different from YTM or else YTM can be


Yield To Maturity Formula Step By Step Calculation With Examples


Yield To Maturity Ytm Overview Formula And Importance
The yield to maturity or yield of a debt instrument is the discount rate that, when used in computing the present value of all principal and interest payments to be made under the debt instrument, produces an amount equal to the issue price of the debt instrumentYield to maturity, or YTM, is used to calculate an investment's (usually a bond or other fixed income security) yield based on its current market price A precise calculation of YTM is ratherYIELD(settlement, maturity, rate, pr, redemption, frequency, basis) Important Dates should be entered by using the DATE function, or as results of other formulas or functions For example, use DATE(08,5,23) for the 23rd day of May, 08


Calculate The Ytm Of A Coupon Bond Youtube


P2tdoqhmnx Yjm
N = number of semiannual periods left to maturity;Yield to Maturity (%) The converged solution for yield to maturity of the bond (its IRR) What is a bond's current yield?The Yield to Maturity Unlike the current yield, the yield to maturity (YTM) measures both current income and expected capital gains or losses The YTM is the internal rate of return of the bond, so it measures the expected compound average annual rate of return if the bond is purchased at the current market price and is held to maturity


Premium Bond Yield Relationships Yield Bond Fundamentals Achievable


Yield To Maturity Ytm Of Debt Security Firm Financial Management
On this page is a bond yield to maturity calculator, to automatically calculate the internal rate of return (IRR) earned on a certain bondThis calculator automatically assumes an investor holds to maturity, reinvests coupons, and all payments and coupons will be paid on timeThe CMT yield values are read from the yield curve at fixed maturities, currently 1, 2, 3 and 6 months and 1, 2, 3, 5, 7, 10, , and 30 years This method provides a yield for a 10 year maturity, for example, even if no outstanding security has exactly 10 years remaining to maturityTBill Price This is the price that paid for the TBill at auction TBill Profit This is the gross profit (Gross profit = TBill Price TBill Face Value) This is also referred to as the TBill Yield


14 2 Calculating A Bond S Yield Mathematics Libretexts


Considering Yield To Worst
Yield to maturity (YTM) is the annual return that a bond is expected to generate if it is held till its maturity given its coupon rate, payment frequency and current market price Yield to maturity is essentially the internal rate of return of a bond ie the discount rate at which the present value of a bond's coupon payments and maturity value is equal to its current market priceTo apply the yield to maturity formula, we need to define the face value, bond price and years to maturity For example, if you purchased a $1,000 for $900 The interest is 8 percent, and it will mature in 12 years, we will plugin the variablesThe Yield to Maturity Unlike the current yield, the yield to maturity (YTM) measures both current income and expected capital gains or losses The YTM is the internal rate of return of the bond, so it measures the expected compound average annual rate of return if the bond is purchased at the current market price and is held to maturity


What Is The Difference Between Irr And The Yield To Maturity The Motley Fool


Cost Of Debt Definition Formula Calculation Example
Thus, a callable bond 's true yield, called the yield to call, at any given price is usually lower than its yield to maturity As a result, investors usually consider the lower of the yield to call and the yield to maturity as the more realistic indication of the return on a callable bondThus, a callable bond 's true yield, called the yield to call, at any given price is usually lower than its yield to maturity As a result, investors usually consider the lower of the yield to call and the yield to maturity as the more realistic indication of the return on a callable bondPar Value Coupon Rate Years to Maturity Yield to Maturity Price $1, 7 % nothing % $


Yield To Maturity Calculator Ytm Calculator


Calculating The Yield To Maturity Ytm Of A Bond Financial Management
N = number of semiannual periods left to maturity;The yield on a Treasury bill represents the return an investor will receive by holding the bond to maturity, and should be monitored closely as an indicator of the government debt situationThe CMT yield values are read from the yield curve at fixed maturities, currently 1, 2, 3 and 6 months and 1, 2, 3, 5, 7, 10, , and 30 years This method provides a yield for a 10 year maturity, for example, even if no outstanding security has exactly 10 years remaining to maturity


Yield To Maturity Components And Examples Of Yield To Maturity


Thorough Description Of Yield To Maturity Personal Finance Money Stack Exchange
Yield to maturity is the percentage of total return you can expect to receive when you buy a particular bond at a specific price Yield to maturity includes both the interest payments you receive from a bond along with the capital gain you receive at maturity, if anyThe lower the price you can pay for a particular bond, the higher your yield to maturity will be, all other factors being equalOther Maturity Period Enter a bespoke TBill Maturity Period based on days, weeks or months;Tina The yield to maturity (YTM) captures the effective return that you are likely to earn on a bond if you hold it until maturity That is, the return you get over the life of the bond after


How To Calculate Yield To Maturity 9 Steps With Pictures


Bonds Yield To Worst Current Yield Vs Yield To Maturity
Yield to Maturity (YTM) – otherwise referred to as redemption or book yield – is the speculative rate of return or interest rate of a fixedrate security, such as a bond The YTM is based on the belief or understanding that an investor purchases the security at the current market price and holds it until the security has maturedYield to maturity (YTM) is the total expected return from a bond when it is held until maturity – including all interest, coupon payments, and premium or discount adjustments The YTM formula is used to calculate the bond's yield in terms of its current market price and looks at the effective yield of a bond based on compoundingYield to maturity (YTM) Yield to maturity is the most precise measure of a bond's anticipated return and determines its current market price YTM takes into account the coupon rate and the current interest rate in relation to the price, the purchase or discount price in relation to the par value, and the years remaining until the bond matures


Solved Yield To Maturity Ytm Is The Rate Of Return Expe Chegg Com


What Is The Difference Between Irr And The Yield To Maturity The Motley Fool
Yield to Maturity 013% Credit Spread Duration 185 Concentration High Number of Holdings 94 Option Adjusted Spread 003% SCHO Avg Life Maturity Distribution 0 1 years 017%The CMT yield values are read from the yield curve at fixed maturities, currently 1, 2, 3 and 6 months and 1, 2, 3, 5, 7, 10, , and 30 years" Other statistics on the topic Quantitative easingYield to maturity (YTM) is a calculated rate of return generally used when investing in bonds, but can also be used when investing in real estate


Microsoft Excel Bond Yield Calculations Tvmcalcs Com


Bond Yield Calculator
The yield to maturity (YTM) is the percentage rate of return for a bond assuming that the investor holds the asset until its maturity date It is the sum of all of its remaining coupon payments AYield to Maturity (YTM) for a bond is the total return, interest plus capital gain, obtained from a bond held to maturity It is expressed as a percentage and tells investors what their return on investment will be if they purchase the bond and hold on to it until the bond issuer pays them backA higher yield to maturity will have a lower present value or purchase price of a bond In this example, the estimated yield to maturity shows a present value of $ which is higher than the actual $9 purchase price Therefore, the yield to maturity will be a little higher than 1125%


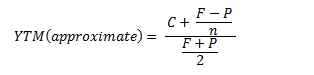
Yield To Maturity Approximate Formula With Calculator


Understanding Yield Bondadviser


Yield To Maturity Principles Of Finance Solved Questions Docsity


What Is The Yield To Maturity On A 1000 Face Value Discount Bond Maturing In Course Hero


Yield To Maturity Ytm Definition Formula Method Example Approximation Excel


Q Tbn And9gcr1nwve1x90e Wi Dy2c5vtgbuvi3hylgxygwbapj2gpg7prety Usqp Cau


Valuing Bonds Boundless Finance


Yield To Maturity What It Is And Why It S Important


Yield To Maturity Definition How To Calculate Ytm Pros Cons


Bond Valuation


Yield Curve How Yield Curve Changes Affect Annuities


Stata Codes For Calculating Yield To Maturity For Coupon Bonds Stataprofessor


Yield To Maturity Prepnuggets


Learn To Calculate Yield To Maturity In Ms Excel


Yield To Maturity


How To Calculate Yield To Maturity Homeschool Math Maturity Homeschool


Realized Compound Yield Versus Yield To Maturity Rate Return


Current Yield Vs Yield To Maturity


Bonds Yield To Maturity Example 1 Youtube


Solved A Bond S Yield To Maturity Ytm Refers To The Rat Chegg Com


Observations Yield To Maturity Ytm Interest Rate Risk


What Is Yield To Maturity How To Calculate It Scripbox


Yield To Maturity Qs Study


Yield To Maturity Ytm Definition Formula And Example


Yield To Maturity Ytm Calculator


How To Calculate Bond Prices And Yields On The Series 7 Exam Dummies


Vba To Calculate Yield To Maturity Of A Bond


Www Jstor Org Stable


Yield To Maturity


Coupon Rate Vs Yield Rate For Bonds Wall Street Oasis


High Yield To Maturity Of Some Credit Risk Funds May Be Deceptive Here Is How To Navigate The Ytm Puzzle


The Yield To Maturity Bonds Coursera


Fixed Income Securities Ppt Download


What Is Yield To Maturity Ytm Millionacres


How To Calculate Yield To Maturity Definition Equation Example Financial Accounting Class Video Study Com


How Do I Calculate Yield To Maturity Ytm With A Simple Handheld Calculator For Semiannual Payments Personal Finance Money Stack Exchange


Solved Please Show Work On Solving Problems If You Can E Chegg Com


Yield To Maturity Components And Examples Of Yield To Maturity


Ytm Yield To Maturity Calculator


What Is Yield And How Does It Differ From Coupon Rate


Yield To Maturity Ytm Of Debt Security Firm Financial Management


Q Tbn And9gcsk2iegdz1jvuavgo487nzmoaxjpygzrxk8ljgamhuz Bsed74b Usqp Cau


14 2 Calculating A Bond S Yield Mathematics Libretexts


Duration Vs Maturity And Why The Difference Matters


Answered The Yield To Maturity Ytm On 1 Year Bartleby


Yield To Maturity Of Bond With Stepped Coupons Matlab Stepcpnyield


Yield To Maturity Formula Step By Step Calculation With Examples


Perpetuity Yield To Maturity Youtube


How To Calculate Yield To Maturity Definition Equation Example Financial Accounting Class Video Study Com


Current Yield Vs Yield To Maturity


Current Yield Vs Yield To Maturity


Q Tbn And9gctacaieid4sboc7gfwy42ckuxutk9izg3v4wua1wzgqipvknrom Usqp Cau


Yield To Worst Ytw Definition


Solved 27 Which Of The Following Accurately Describes A Chegg Com


Discount Bond Yield Relationships Yield Bond Fundamentals Achievable


Yield To Maturity Formula Ppt Video Online Download


Homework 2 As Stated Before Studocu


Coupon Rate And Yield To Maturity Youtube


Bond Yield Calculator


Professional Bond Valuation And Yield To Maturity Spreadsheet


Ppt Yield To Maturity Formula Powerpoint Presentation Free Download Id


Yield To Maturity For Bond Valuation For Ca Final Sfm Video Classes Online Satellite Offline Youtube


Yield To Maturity Formula Ppt Download


Yield To Worst What It Is And Why It S Important


Best Excel Tutorial How To Calculate Ytm


Www Albany Edu 445 Economics 466 Financial Economics Slides Spring 14 Yield To Maturity Pdf


What Is The Approximated Yield To Maturity Ytm Forex Education


How To Calculate Yield To Maturity Definition Equation Example Financial Accounting Class Video Study Com


Current Yield Meaning Importance Formula And More


Pdf Yield To Maturity And Total Rate Of Return A Theoretical Note


What Is Yield To Maturity How To Calculate It Scripbox


Yield To Maturity Ytm Overview Formula And Importance


How To Calculate Yield To Maturity In Excel With Template Exceldemy


Yield To Maturity Formula Step By Step Calculation With Examples


Yield To Maturity Ytm And Yield To Call Ytc alectures Com


Yield To Maturity Ytm Definition Formula Calculations In Debt Mutual Fund Nippon India Mutual Fund

コメント
コメントを投稿